Заметки
- ^ Гросс, Дэниел А. (2015). «Дивное новое масло» . Дистилляции . 1 (1): 6–7 . Проверено 30 апреля 2018 года .
- ^ Огл, Морин (7 августа 2013 г.). «За столетие до выращивания гамбургеров в лаборатории, этот химик изобрел« зубодробительную »пищу промышленного производства» . Сланец / будущее время . Проверено 30 апреля 2018 года .
- «Биографии» . Вестник аптеки . 9 : 574.1895 . Проверено 30 апреля 2018 года .
- Херст, WR (1903). Американский Альманах, Ежегодник, Циклопедия и Атлас . 1 . New York American and Journal, Hearst’s Chicago American и San Francisco Examiner. п. 219 . Проверено 30 апреля 2018 года .
- «Современные знаменитости» . Текущая литература . 32 : 139.1902 . Проверено 30 апреля 2018 года .
- ↑ Talbot, Jean (1995). Les éléments chimiques et les hommes . Париж: СИРП.
- «Бывшие члены Королевского общества Эдинбурга 1783-2002» . Королевское общество Эдинбурга . Архивировано из оригинального 19 сентября 2015 года . Проверено 30 апреля 2018 года .
- М. Бертело, Sciences et Morales, Об образовании, Париж, Impr. Nouvelle,1895 г.
- Авраам Луи Бреге на www.hautehorlogerie.com
-
Роберт К. Уилкокс (2010). Правда о Туринской плащанице: разгадывая тайну . Regnery Gateway. п. 23. ISBN 978-1-59698-600-8.
В 1902 году Марселлен П. Бертло, которого часто называют основоположником современной органической химии, был одним из самых знаменитых ученых Франции, если не всего мира. Он был бессменным секретарем Французской академии, сменив гиганта Луи Пастера, известного микробиолога. В отличие от Делажа, агностика, Бертело был атеистом, причем воинственным.
-
Томас де Wesselow (2012). Знак: Туринская плащаница и тайна воскресения . Пингвин. ISBN 978-1-101-58855-0.
Хотя Делаж ясно дал понять, что не считает Иисуса воскресшим Сыном Божьим, его статья расстроила членов Академии-атеистов, в том числе ее секретаря Марселлина Бертло, который помешал полностью опубликовать ее в бюллетене Академии.
- ^ Эта статья включает текст из публикации, которая сейчас находится в общественном достоянииChisholm, Hugh, ed. (1911). » Бертело, Марселлен Пьер Эжен «. Британская энциклопедия . 3 (11-е изд.). Издательство Кембриджского университета. п. 811; см. пункт 2.
- ↑ Friedmann, HC (1997). Корниш-Боуден, А (ред.). От мочи Фридриха Велера до алкоголя Эдуарда Бухнера . Университет Валенсии, Валенсия, Испания. С. 67–122. ISBN 84-370-3328-4.
- «Книга членов, 1780–2010: Глава B» . Американская академия искусств и наук . Проверено 11 сентября 2016 года .
- «М. Бертло (1827 — 1907)» . Королевская Нидерландская академия искусств и наук . Проверено 23 апреля 2016 года .
- Les Origines де l’Alchemie (Париж, Г. Штейнгель, 1885).
- Введение в l’étude de la chimie, des anciens et du moyen âge (Париж, Г. Штайнхейль, 1889).
- Коллекция des anciens alchimistes Grec . Том 1 , Том 2–3 (Париж: G. Steinheil, 1887).
- История наук: La chimie au moyen âge (Imprimerie nationale, 1893).
- Наука и философия (Леви, 1886).
- La révolution chimique: Лавуазье (Париж, Гермер-Байер, 1890)
- Наука и мораль (Леви, 1897).
- на mapage.noos.fr
Лабораторные реакции
Самая популярная реакция, одна из немногих, известных кому-то, кроме химиков — проба Толленса,
или реакция серебряного зеркала. Она состоит в окислении кислоты (и ряда других менее популярных соединений) и одновременном восстановлении серебра, которое на гладкой поверхности осаждается в виде сплошного блестящего слоя — того самого зеркала.

Еще одной известной именной реакцией в органической химии является реакция Кучерова — гидратация алкинов с помощью солей ртути в кислой среде. В результате образуется сначала енол — который далее перегруппировывается в карбонильное соединение (альдегид или кетон).
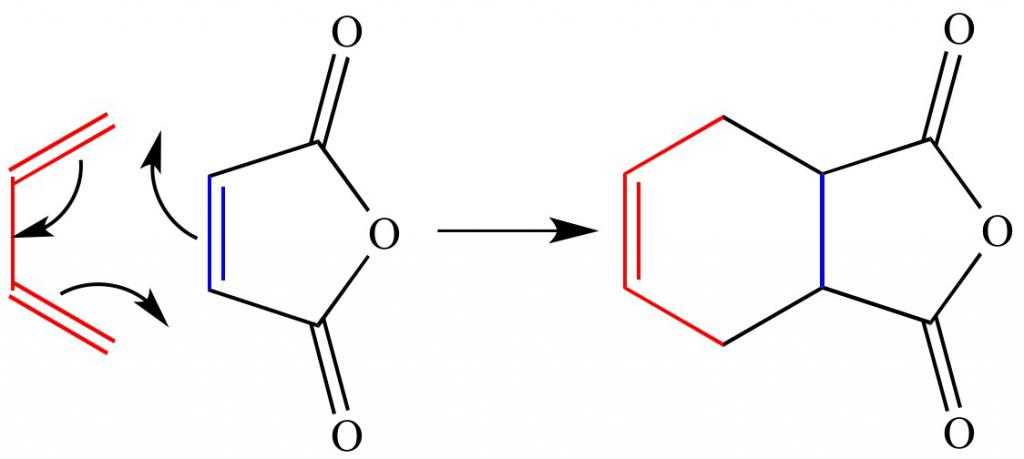
Интерес также вызывает реакция Дильса — Альдера. Ее достаточно трудно объяснить словами и очень просто — картинкой.

В реакцию вступает, во-первых, сопряженный диен (у такого диена двойные связи расположены через одну), во-вторых, диенофил, у которого есть двойная связь, причем не простая, а с пониженной электронной плотностью — поэтому у диенофила рядом с кратной связью находится электроноакцепторная группа (карбонильная, карбоксильная или еще какая-нибудь), которая эту плотность на себя оттягивает. Тогда диен крепится к диенофиловой кратной связи, образуя шестичленный цикл.
Литература
Wikimedia Foundation
.
2010
.
Смотреть что такое «Бертло, Пьер Эжен Марселен» в других словарях:
Бертело (Berthelot) (1827 1907), французский химик и государственный деятель, иностранный член корреспондент Петербургской АН (1876). Труды по органической химии, химической кинетике, термо и агрохимии, взрывчатым веществам, истории химии.… … Энциклопедический словарь
Бертло, Бертело (Berthelot) Пьер Эжен Марселен (25.10.1827, Париж, ‒ 18.3.1907, там же), французский химик и общественный деятель. Профессор химии Высшей фармацевтической школы в Париже (1859) и Коллеж де Франс (1864), член Парижской АН (1873) и… … Большая советская энциклопедия
Бертло, Пьер Эжен Марселен
— БЕРТЛО (Бертело) (Berthelot) Пьер Эжен Марселен (1827 1907), французский химик и государственный деятель. Труды по органической химии, химической кинетике, термо и агрохимии, взрывчатым веществам, истории химии. Синтезировал природные… … Иллюстрированный энциклопедический словарь
Открытия
Фундаментальная концепция, лежащая в основе всех химических работ Бертло, заключалась в том, что все химические явления зависят от действия физических сил, которые можно определить и измерить. Когда он начинал свою активную карьеру, обычно считалось, что, хотя наблюдались некоторые примеры синтетического производства органических веществ, в целом органическая химия оставалась аналитической наукой и не могла стать конструктивной, потому что образование веществ с которые он имеет дело, требовало вмешательства в жизнедеятельность в той или иной форме. Он участвовал в длительном споре с Луи Пастером по поводу витализма, в котором Пастер занял виталистическую позицию на основе его работы по алкогольному брожению.
Этому отношению он предложил бескомпромиссную оппозицию, и путем синтетического производства многочисленных углеводородов , природных жиров, сахаров и других веществ он доказал, что органические соединения могут быть образованы обычными методами химических манипуляций и подчиняться тем же принципам, что и неорганические вещества, тем самым демонстрируя «творческий характер, благодаря которому химия фактически реализует абстрактные концепции своих теорий и классификаций — прерогатива, которой до сих пор не обладали ни естественные, ни исторические науки».
Промышленный синтез
Одной из знаковых реакций, в особенности для российской науки, является синтез бутадиена — основы для производства синтетического каучука. Она носит название реакции Лебедева. Этиловый спирт пропускается над комплексным катализатором — оксид алюминия, оксид цинка и температура 400-500 о С. Процесс проходит в одну стадию и этим выгоден; именно благодаря ему СССР в 1926 году получил сырье, необходимое для производства одного из важнейших промышленных полимеров — синтетического каучука, то есть резины.

Также большое значение имеет процесс Фишера — Тропша. Он
заключается в получении различных жидких углеводородов из синтез-газа (смеси угарного газа и водорода) с катализаторами из железа или кобальта. Из продуктов синтеза дальше можно делать топливо — бензин или дизельное (основное направления использования процесса). Также состав продуктов синтеза можно изменять с помощью выбора определенных катализаторов: процесс можно направить на получение метана, углеводородов с разветвленной цепью, высших парафинов, метанола и прочего.
Общественно-политическая деятельность
La Révolution chimique, 1890
Помимо научной работы, Бертло активно занимался общественно-политической деятельностью. С 1876 года Бертло занимался вопросами просвещения: был генеральным инспектором высшего образования, а в 1886—1887 годах — министром народного просвещения и изящных искусств. В 1895—1896 годах Бертло был министром иностранных дел Франции.
Продолжатель традиций просветителей-энциклопедистов XVIII в., Бертло был последовательным атеистом, ратовал за расширение образования, за союз естествознания и философии. В своей статье «2000 год» учёный нарисовал идиллическую картину общества, пользующегося достижениями науки и предоставляющего все возможности для научного прогресса. Глубоко веря в преобразующую силу науки, Бертло полагал, что с её помощью без революционных потрясений могут быть решены и социальные проблемы.
Публикации
Бомбы, используемые для экспериментов по взрыву водорода
La Révolution chimique , 1890 год.
Его исследования по синтезу органических соединений были опубликованы в многочисленных статьях и книгах, в том числе в Chimie organique fondée sur la synthèse (1860) и Les Carbures d’hydrogène (1901). Он заявил, что химические явления не подчиняются каким-либо особым законам, специфическим для них самих, но могут быть объяснены в терминах общих законов механики, действующих во всей вселенной ; и эту точку зрения он развил с помощью тысяч экспериментов в своих « Химическая химия» (1878 г.) и « Термохимия» (1897 г.). Это направление исследований естественным образом привело его к исследованию взрывчатых веществ, а с теоретической точки зрения привело к результатам, опубликованным в его работе.Sur la force de la poudre et des matières взрывчатых веществ (1872 г.), хотя с практической точки зрения это позволило ему оказать важные услуги своей стране в качестве президента комитета по защите науки во время осады Парижа (1870–1871 гг.) И впоследствии в качестве начальника Французский комитет по взрывчатым веществам. Он провел эксперименты по определению давления газа во время взрыва водорода с помощью специальной камеры, снабженной поршнем, и смог отличить горение смесей водорода и кислорода от настоящих взрывов .
Историко-философский труд
В более позднем возрасте он исследовал и написал книги по ранней истории химии, такие как «Истоки химии» (1885 г.) и « Введение в исследование химии древних людей и мою жизнь» (1889 г.), Он также перевел различные древнегреческие, сирийские и арабские трактаты по алхимии и химии: Collection des anciens alchimistes grecs (1887–1888) и La Chimie au moyen âge (1893). Он был автором « Науки и философии» (1886 г.) которой содержится хорошо известное письмо Ренану о « La Science idéale et la science positive » изLa Révolution chimique, Lavoisier (1890), of Science et morale (1897), и многочисленные статьи в La Grande Encyclopédie , которые он помог создать.
Untersuchungen über die Affinitäten, über Bildung und Zersetzung der Äther. Ostwalds Klassiker der exakten Wissenschaften; 173 Leipzig: Энгельманн, 1910 Цифрового издания в университете и государственной библиотека Дюссельдорф
Редакции
- Введение в l’étude de la chimie des anciens et du Moyen Age (на французском языке). Париж: Штайнхайль. 1889 г.
- La Révolution chimique (на французском языке). Париж: Алькан. 1890 г.
История органического синтеза
Раньше, очень давно, считалось, что вся химия поделена на две части — «живую» и «неживую». Сейчас эта классификация примерно совпадает с делением на органическую и неорганическую, но тогда еще и считали, что соединения «живой» химии нельзя получить в лаборатории, а можно только выделить из природных материалов, в которых они содержатся. Дело в таинственной живой силе, которая по-особенному регулирует все процессы в «живой» химии.
Эти убеждения опроверг Фридрих Велер в 1824 году, получив мочевину «живой» химии из «неживых» аммиака и углекислого газа. Реакция была проведена при высоких температуре и давлении, однако без участия всяких «живых сил». Позже ученик Велера Адольф Кольбе синтезировал трихлоруксусную кислоту. Это была длинная цепочка реакций, однако в самом начале ее лежал лишь уголь. А из он получил уксусную.
Реакции Бертло
Предыдущие доказательства были убедительными, однако их все еще было очень мало. И здесь в игру вступил французский химик Марселен Бертло. Он синтезировал метан — основу всей органики, — используя сероводород и сероуглерод. При пропускании этих газов над медным катализатором и получалось искомое соединение. Следующий опыт Бертло — реакция получения муравьиной кислоты из натриевой щелочи и угарного газа. Потом синтезировали ацетилен — Бертло использовал электролиз водорода на угольных электродах, Велер гидролизовал карбид.
Кроме этих двух углеводородов (метана и ацетилена), Бертло получил еще много более сложных — бензол, этилен и их производные. Из этилена и воды был получен этиловый спирт в присутствии серной кислоты — эта реакция Бертло послужила еще одним опровержением «жизненной силы», которая должна была участвовать в образовании того же этилового спирта про брожении, прежнем методе получения.
Все тот же Бертло успел получить и природные жиры из глицерина и жирных кислот. Все эти реакции в совокупности все же опровергли окончательно представления о «неживой силе», и таким образом было положено начало химии органического синтеза — изучению способов получения различных органических соединений.
Великие химики
Пьер-Эжен-Марселен БЕРТЛО (Berthelot)
(25.10.1827- 18.3.1907)
Бертло (Бертело) — французский химик и общественный деятель. Профессор
химии Высшей фармацевтической школы в Париже (1859 г.) и Коллеж де
Франс (1864 г.), член Парижской АН (1873 г.) и её непременный секретарь
(1889 г.), член-корреспондент Петербургской АН (1876 г.). Министр
просвещения (1886-87 гг.) и иностранных дел (1895 г.). Бертло —
автор многочисленных работ по органической химии, термохимии, агрохимии,
истории химии и др.
Бертло синтезировал огромное число органических соединений,
относящихся к различным классам, чем нанёс окончательное поражение
представлениям о «жизненной силе». Взаимодействием глицерина и жирных
кислот Бертло получил (1853- 1854 гг.) аналоги природных жиров и таким
образом доказал возможность их синтеза. Попутно он установил, что
глицерин — трёхатомный спирт. Принципиальное значение имел синтез
этилового спирта гидратированием этилена в присутствии серной кислоты
(1854 г.); до этого этиловый спирт получали только брожением сахаристых
веществ. Другим направлением работ Бертло были синтезы многих
простейших углеводородов — метана, этилена, ацетилена, бензола, а затем
на их основе — более сложных соединений. Им были заложены основы
изучения терпенов. В 1867 году Бертло предложил общий метод
восстановления органических соединений иодистым водородом.
Свои исследования по органической химии Бертло обобщил в ряде
монографий, в которых указывал, что химия не нуждается в «жизненной
силе», что любое органическое соединение может быть получено при помощи
материальных факторов.
В 1861-63 гг. Бертло совместно с французским химиком Л. Пеан де
Сен-Жилем (1832-63) опубликовал исследования скорости образования
сложных эфиров из спиртов и кислот, занимающие видное место в истории
кинетики химической. Бертло принадлежит почётное место среди
основоположников термохимии. Он провёл обширные калориметрические
исследования, приведшие, в частности, к изобретению в 1881 году
калориметрической бомбы, ввёл понятия «экзотермической и эндотермической
реакций». Бертло исследовал действие взрывчатых веществ: температуру
взрыва, скорости сгорания и распространения взрывной волны и др. Он
выяснил значение углерода, водорода, азота и др. элементов в растениях и
высказал предположение о возможности фиксации свободного азота почвой,
населённой микроорганизмами и не покрытой растительностью.
В 1885 г. вышел труд Бертло «Происхождение алхимии«. В 1887-93
гг. Бертло опубликовал собрания древнегреческих, западноевропейских
(лат.), сирийских и арабских алхимических рукописей с переводами,
комментариями и критикой. Бертло принадлежит книга «Революция в химии.
Лавуазье» (1890 г.).
С Бертло поддерживал тесные связи А. М. Бутлеров, встречались Д. И.
Менделеев, В. Ф. Лугинин, П. Д. Хрущев, В. В. Марковников и друние
русские химики; некоторые из них подолгу работали в его лаборатории. С
1876 г. занимался вопросами просвещения — генеральный инспектор высшего
образования, в 1886-87 гг. министр народного просвещения. В 1870 г., во
время осады немцами Парижа, Бертло возглавлял Учёный комитет защиты
Парижа, который проделал огромную работу по изысканию взрывчатых
веществ, отливке дальнобойных орудий, подготовке средств обороны
города.
Бертло, продолжатель традиций просветителей-энциклопедистов XVIII века,
ратовал за расширение образования, за союз естествознания и философии.
Глубоко веря в преобразующую силу науки, Бертло полагал, что с её
помощью могут быть решены и социальные проблемы, без революционных
потрясений.
Автор знаменитых «химических синтезов«, разносторонне
образованный учёный, Бертло в ряде случаев был непоследовательным и
допускал методологические ошибки в своих взглядах. Признавая
огромную роль науки, он в то же время умалял значение теории в развитии
естествознания. Бертло долго и упорно отрицал атомно-молекулярную
теорию, теорию химического строения, периодический закон, теорию
электролитической диссоциации. Понятие молекулы он считал
неопределённым, атома — гипотетическим, а валентность — иллюзорной
категорией.
Однако будучи настоящим учёным, он уже на склоне лет, окруженный ореолом
славы, нашёл в себе мужество отказаться от своих прежних представлений и
присоединиться к передовым взглядам. Свой отказ он выразил следующими
словами: «Главная обязанность ученого не в том, чтобы пытаться
доказать непогрешимость своих мнений, а в том, чтобы всегда быть готовым
отказаться от всякого воззрения, представляющегося недоказанным, от
всякого опыта, оказывающегося ошибочным«.
Комментарии
Никола Тесла
физик, инженер, великий изобретатель
Альберт Эйнштейн
автор теории относительности, физик-теоретик
Галилео Галилей
великий ученый Возрождения, философ, математик, астроном, изобретатель
Яценко, Леонид Петрович
член-корреспондент Академии наук Украины, директор Института физики АН Украины
Войцех Ястшембовский
польский учёный-естествоиспытатель, изобретатель
Карл Гуте Янский
американский физик и радиоинженер, основоположник радиоастрономии
Янг Чжэньнин
китайский и американский физик
Лола Григорьевна Яковлева
российская, ранее советская, шахматистка, международный мастер ИКЧФ среди женщин




























