Реагенты и продукты
В ранних исследованиях С. В. Лебедев прибегал к созданию бутадиена из нефтяных фракций. Однако впоследствии он стал получать данный диен из этилового спирта, полученного путем брожения картофеля. Для получения одной лишь автомобильной шины требовалось переработать до 500 кг картофеля, что, естественно, было экономически невыгодно.
Позже, в период 1926-928 гг., С.В. Лебедев вместе со своей командой из учеников и вольных слушателей усовершенствовал способ получения бутадиена из этилового спирта. Выход диена на момент демонстрации результатов был 22%. Благодаря стараниям, ученые одержали победу на конкурсе, организованном И.В. Сталиным среди сейчас уже бывших стран Советского Союза, по предложениям способов производства синтетического каучука.
Так, теперь в конечном варианте синтеза, в основных продуктах получают бутадиен‒1,3 CH2=CH‒CH=CH2, воду H2O и свободный водород H2. Дополнительно могут образоваться некоторые ароматические соединения, этилен, пропилен, бутилены, высшие спирты и ацетальдегид, но в основном уравнении реакции Лебедева формулы этих веществ не указываются. Поскольку этот диен является газообразным веществом, нерастворимым в воде, его от всех других углеводородов отделяют конденсацией, адсорбцией спиртом, отмывкой H2O или же ректификацией.
Строение сопряженных алкадиенов
Молекула бутадиена-1,3 содержит четыре атома углерода в sp 2 —гибридизованном состоянии.
π-Электроны двойных связей образуют единое π-электронное облако (сопряженную систему) и делокализованы (равномерно распределены) между всеми атомами углерода.

Это соответствует плоскому строению молекулы бутадиена-1,3.
| Образуется единая сопряженная π-система, которая может вступать во взаимодействие целиком, используя все четыре р-орбитали π-связей. |
Реальное строение бутадиена более точно отражает формула с делокализованными «полуторными» связями.
Аналогичное устроены и другие сопряженные алкадиены.
Например , 2-метилбутадиен-1,3:

Сопряжение в молекуле алкадиенов можно также схематично изобразить так:
Изображение с сайта orgchem.ru
2. Окисление алкадиенов
Реакции окисления в органической химии сопровождаются увеличением числа атомов кислорода (или числа связей с атомами кислорода) в молекуле и/или уменьшением числа атомов водорода (или числа связей с атомами водорода).
В зависимости от интенсивности и условий окисление можно условно разделить на мягкое и жесткое.
2.1. Мягкое окисление алкадиенов
Мягкое окисление алкадиенов протекает при низкой температуре в присутствии перманганата калия. При этом раствор перманганата обесцвечивается.
В молекуле алкадиена разрываются только π-связи и окисляются атомы углерода при двойных связях. При этом образуются четырехатомные спирты.

| Обесцвечивание алкадиенами водного раствора перманганата калия, как и в случае алкенов – качественная реакция на двойную связь. |
2.2. Жесткое окисление
При жестком окислении под действием перманганатов или соединений хрома (VI) происходит полный разрыв двойных связей С=С и связей С-Н у атомов углерода при двойных связях. При этом у окисляемых атомов углерода образуются связи с атомами кислорода.
Так, если у атома углерода окисляется одна связь, то образуется группа С-О-Н (спирт). При окислении двух связей образуется двойная связь с атомом углерода: С=О, при окислении трех связей — карбоксильная группа СООН, четырех — углекислый газ СО2.
Можно составить таблицу соответствия окисляемого фрагмента молекулы и продукта:
| Окисляемый фрагмент | KMnO4, кислая среда | KMnO4, H2O, t |
| >C= | >C=O | >C=O |
| -CH= | -COOH | -COOK |
| CH2= | CO2 | K2CO3 |
При окислении бутадиена-1,3 перманганатом калия в среде серной кислоты возможно образование щавелевой кислоты и углекислого газа:

2.3. Горение алкадиенов
Алкадиены, как и прочие углеводороды, горят в присутствии кислорода с образованием углекислого газа и воды.
В общем виде уравнение сгорания алкадиенов выглядит так:
| Например, уравнение сгорания бутадиена: |
Механизм протекания, при каких условиях
Реагенты при отсутствии заместителей взаимодействуют в достаточно жестких условиях. К примеру, для реакции бутадиена-1,3 и этилена необходим температурный режим более 200 градусов и давление свыше 400 атмосфер. Выход химического процесса при этом небольшой. Если реагенты обладают электронодонорными и электроноакцепторными заместителями, реакция протекает в условиях комнатной температуры или при малом нагреве с количественным выходом. Реакция относится к классу -циклоприсоединения. В процессе три тт-связи разрываются и образуются две σ-связи и одна тт-связь. Реакция является одностадийной и характеризуется единственным переходным состоянием. Кроме бутадиена-1,3, вступать в реакцию Дальса-Альдера могут:
- циклические диены;
- гетероциклические диены;
- енины.
Диенофилы представлены следующими типами:
- малеиновый ангидрид;
- тетрацианэтилен;
- акриловая кислота;
- метилакрилат;
- акрилонитрил.
Химические свойства алкадиенов
Алкадиены вступают в химические реакции, характерные для алкенов (реакции присоединения, изормеризации, полимеризации, окисления).
Реакции присоединения
К алленам и алкадиенам с изолированными двойными связями присоединение молекул происходят по обеим двойным связям:


В алкадиенах с сопряженной двойной связью присоединение молекул происходит как по месту одной двойной связи (1,2-присоединение), так и к крайним атомам сопряженной системы (1,4-присоединение). При этом происходит перемещении двойной связи. В результате образуется смесь продуктов 1,2- и 1,4-присоединения:
Рассмотрим реакции алкадиенов с сопряженными двойными связями на примере 1,3-бутадиена:
Гидрирование 1,3-бутадиена в присутствии катализаторов (Ni, Pt):
Галогенирование. При температуре – 80°С продукты 1,2- и 1,4-присоединения находятся в соотношении 80:20, а при 40°C – 20:80:
Гидрогалогенирование, гидратация, сульфирование происходит согласно правилу Марковникова:
Гипогалогенирование происходит в основном по 1,2-положениям:
Диеновый синтез (реакция Дильса – Альдера). Сопряженные алкадиены присоединяют диенофилы (соединения с ненасыщенными С-С связями) по 1,4-положениям. В результате реакции образуются циклические соединения:

Следующая реакция является качественной на соединения, имеющие сопряженные двойные связи:

Реакции окисления
Горение:
Окисление кислородом воздуха:
- Окисление раствором перманганата калия (KMnO4) является качественной реакцией на непредельные углеводороды. По обесцвечиванию малинового раствора KMnO4 судят о присутствии в исследуемом соединении кратных С-С связей:
- В нейтральной среде (водный раствор KMnO4):

В кислой среде:

Озонолиз (окисление озоном) протекает с участием обеих двойных связей:

Реакции полимеризации алкадиенов
На основе реакций полимеризации получают синтетические каучуки. Натуральный каучук –это 1,4-цис-полиизопрен. Такой полимер можно получить, используя катализатор Циглера-Натта (Al(C2H5)3∙TiCl4).
Транс-изомер изопрена – это гуттаперча:

При сополимеризации 1,3-бутадиена со стиролом получают бутадиен-стирольный каучук, который широко применяется в производстве шин: 
Бутадиен-нитрильный каучук получают путем сополимеризации 1,3-бутадиена и акрилонитрила :

Получение алкадиенов
Дегидрирование алканов и алкенов в присутствии катализатора (смесь окиси хрома и алюминия — алюмохромовый катализатор) и температуре 600оС :
Дегидрирование алканов протекает через стадию образования алкенов, которые при последующем отщеплении водорода превращаются в адкадиены.
- Одновременное дегидрирование и дегидратация спиртов в присутствии катализатора (цинкалюминиевый, цинкмарганцевый). Этот способ получения алкадиенов известен как синтез С.В. Лебедева:
- Метод А.Е. Фаворского из ацетона:
Из смеси изобутилена и формальдегида под давлением около 2 МПа, температуре 100оС:
Димеризация ацетилена через винилацетилен под действием катализатора (соли закиси меди) с последующим гидрированием винилацетилена:
Конденсация ацетилена с формальдегидом в присутствии катализатора (ацетиленид меди на силикагеле) при температуре 100оС и давлении 0,5 МПа (Синтез Реппе):
Дегидратация гликолей в присутствии фосфорной кислоты в качестве катализатора при температуре ~260–275оС и давлении 7,0 МПа, последующая дегидратация при температуре 270–280 оС и давлении 0,1 МПа (катализатор — NaН2РО4, нанесенный на кокс или графит):

Дегидрогалогенирование дигалогеналканов в присутствии водоотнимающего агента – серной кислоты:

Применение алкадиенов
Основное применение алкадиены нашли в производстве синтетических каучуков, основная часть которых используется для получения резины, материала бензопроводов и др. Подробно о видах каучуков и областях их применения читайте в разделе Каучук — виды, получение и применение.
Изомерия алкадиенов с сопряженной связью
Диены образуют как структурные, так и пространственные изомеры.
Структурная изомерия
Диеновые молекулы могут различаться по следующим признакам:
Позиция сопряженной связи:
гексадиен-1,3 гексадиен-2,4 .
Строение углеродного скелета:

наличие соединений других классов, имеющих тот же атомный состав, – межклассовых изомеров. К их числу относятся алкины и циклоалкены.
Пространственная изомерия
Стереоизомерия (геометрические различия) возникает вследствие того, что фрагменты молекулы не могут вращаться вокруг кратной связи. Одинаковые заместители при этом оказываются либо по одну сторону от плоскости π-связи (цис-изомеры), либо по разные (транс-изомеры) и оказать влияние на реакционную способность.

Большое значение имеет и конформация молекул. Так, при вращении молекулы вокруг -связи, объединяющей сопряженную систему –C=C–C=C–, возникают поворотные (конформационные) изомеры:
- цисоиды, или заслоненные конформеры, в которых радикалы одного типа в торцевой проекции налагаются друг на друга;
- трансоиды, или заторможенные конформеры, одинаковые радикалы которых разведены на максимальное расстояние.

В то время как геометрическая изомерия связана с неизменной конфигурацией углеводородной молекулы, поворотные изомеры способны переходить из одного состояния в другое.

В трансоидной конформации молекула диена обладает минимальной энергией и вследствие этого менее реакционноспособна. Определенные химические превращения, например реакции диенового синтеза, протекают избирательно только с участием s-цис-конформера.
Реакция Дильса-Адлера бутадиен-1,3 этен циклогексен дивинил этилен .
Диеновый синтез
Реакция Дильса-Адлера позволила получать циклосоединения по довольно простым механизмам, не прибегая к сложным многостадийным реакциям. Суть реакции сводится к взаимодействию сопряженного диена и диенофила, который может быть представлен алкенами и алкинами с электроакцепторными заместителями, а также соединениями, содержащими двойные связи с гетероатомом, например –C=O, ‒C=N и др. В результате образуется циклический углеводород, поэтому эту реакцию еще называют «циклоприсоединением».
Синтез по Дильсу-Адлеру может проходить в присутствии кислот Льюиса, которые значительно ускоряют ход реакции и чаще всего способствуют хорошему выходу основного продукта, а также влияет на образование энантиомеров и цис-/транс- изомерии.
Примером такой реакции без катализатора может служить присоединение бутадиена–1,3 к пара-бензохинону в среде бензола при температуре 35 °С, в результате которого выход продукта достигает 100%. Синтез проходит с переходом протонов водорода между углеродными атомами для образования второго цикла и создания прочного соединения. В конце реакции образуется производное 1,4–нафтохинона, который может дальше реагировать с бутадиеном‒1,3 при 100 °С с образованием цикла на противоположной стороне. Из конечного продукта реакции путем дегидрирования можно получить антрахинон, производные которого используются в качестве красителей, например ализарин.

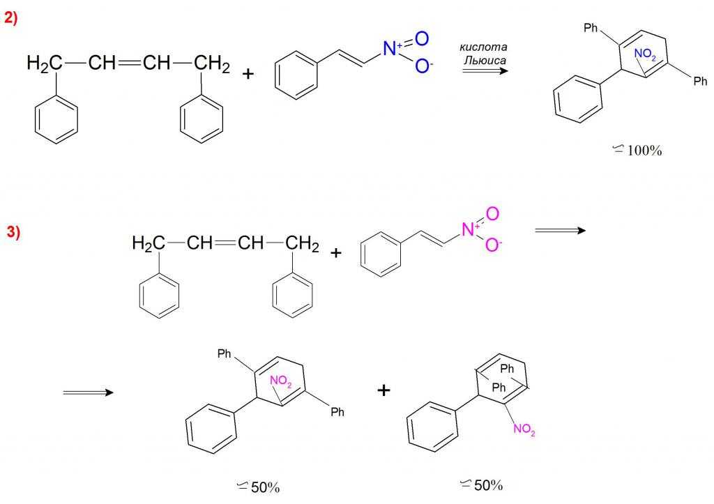
А примером каталитического синтеза может являться реакция 1,4–дифенилбутадиена с β-нитростиролом, где в присутствии кислоты Льюиса образуется только эндо-нитроаддукт (пример 2). Без участия катализатора эта реакция проходит с образованием эндо-нитросоединения и эндо-дифениловых продуктов в соотношении 1:1 (пример 3).
Такие реакции подтверждают целесообразность использования каталитически активных веществ в диеновом синтезе, так как они существенно ускоряют процесс и значительно влияют на регио- (орто-, пара- и мета-положения) и стереоселективность (оптические и эндо-/экзо-положения заместителей).
Строение молекул и классификация диенов
Главный признак алкадиенов – две двойные связи в углеродном скелете. Молекула содержит две пары атомов углерода с sp2-гибридизованными внешними электронными облаками. Для данного состояния атома характерно наличие одной негибридной p-орбитали, располагающейся перпендикулярно плоскости, проходящей через центры взаимодействующих атомов.
В каждой паре таких атомов помимо прочно соединяющей их по кратчайшему расстоянию σ-связи, за счет перекрывающихся p-облаков возникает менее устойчивая π-связь. Сочетание (σ+π) и есть двойная связь C=C. При внешнем воздействии ее π-компонент легче поддается разрыву и освобождает у пары углеродных атомов по одной валентности для химического взаимодействия.

Поскольку у диеновых углеводородов на формирование двойных связей затрачивается по две валентности для каждой углеродной пары, до полного насыщения молекуле не хватает четырех водородных атомов. Химическая формула алкадиенов имеет вид .
Типология диенов по взаимному положению двойных связей

Различают три типа расположения, при которых различаются степень и характер влияния связей C=C друг на друга:
- Изолированные связи разделены двумя и более простыми связями C–C. По химическим свойствам такие соединения аналогичны алкенам, так как связи C=C не взаимодействуют между собой. Пример – гексадиен-1,4: CH2=CH–CH2–CH=CH–CH3.
- Кумулированные (алленовые) связи формируются тремя находящимися рядом углеродными атомами, как в молекуле пропадиена (аллена): CH2=C=CH2. Здесь плоскости, в которых функционируют -связи, взаимно перпендикулярны, что влечет за собой неустойчивость алленовой системы.
- Сопряженные системы возникают, когда связи C=C и C–C чередуются. В этом случае благодаря одинаковой ориентации осей всех перекрывающихся p-облаков их электроны образуют единую систему с равномерно распределенной плотностью, что приводит к укорочению -связи и стабилизации молекулы.
Соединения этого типа представляют наибольший интерес в плане практического использования.

Принцип реакции
По принципу протекания данный синтез относят к каталитическому пиролизу (термическому разложению), который проходит в присутствии алюмо-цинковых оксидных катализаторов при температуре около 450 °С.
В химии реакция Лебедева примечательна тем, что она проходит в одну стадию, но при этом внутри нее происходит сразу три изменения:
- отщепляется вода;
- отрывается водород;
- происходит присоединение между алкильными остатками.
Синтез неоднократно совершенствовался, применялись новые алюминиевые катализаторы с добавлением солей марганца и других металлов, а также варьировались условия проведения, что позволило снизить энергозатратность при поддержании температуры (360–370 °С) и увеличить степень превращения спирта в ходе реакции (до 50%, выход бутадиена–1,3 составляет 42%).

Строение алкадиенов
Свойства алкадиенов определяются их строением и взаимных расположением двойных связей в молекуле.
Изолированные двойные связи разделены в углеродной цепи двумя или более σ-связями С–С. Например, в пентадиене-1,4:
Изолированные алкадиены проявляют свойства алкенов.
Кумулированные двойные связи расположены в углеродной цепи у одного атома углерода.
Например , пропадиен:
Кумулированные алкадиены неустойчивы.
Сопряженные двойные связи разделены одной σ-связью С-С.
Например , бутадиен-1,3:
Сопряженные алкадиены обладают характерными свойствами, которые отличаются от свойств алкенов.
Дальнейшее изучение
Открытия С. В. Лебедева послужили началом изучения свойств диеновых углеводородов, благодаря которым был открыт так называемый «диеновый синтез». Существуют три версии, по которым он в ходе научной деятельности изучил реакцию димеризации диенов. Первая предполагает, что в результате синтеза ученый получил димер циклопентадиена. Вторая версия говорит о димеризации изопрена с получением дипентена. А третья описывает получение винилциклогексена из двух молекул бутадиена‒1,3. Во всяком случае этот синтез лег в основу дальнейшего изучения свойств сопряженных диенов, которые развивали Отто Дильс и Курт Адлер, удостоенные Нобелевской премии в 1950 году.
Диеновый синтез
Диеновые синтезы подчиняются определенным характерным закономерностям.
Диеновый синтез с фураном возможен для небольшого числа диено-филов, преимущественно имеющих две электроотрицательные группы.
Диеновые синтезы между диолефином и диенофильным компонентом с тройной связью подобны реакции присоединения бутадиена к нитрилу низшей алифатической карбоновой кислоты; их проводят в газовой фазе при температуре 600 на окиси алюминия в качестве катализатора. Например, из ацетонитрила и, бутадиена, кроме продуктов пиролитического разложения, образуется небольшое количество анилина.
Диеновый синтез в зависимости от строения исходных веществ приводит к образованию соединений различного пространственного строения. В наиболее общих чертах конфигурация продуктов реакции диенов определяется так называемым правилом Алдера4 5, заключающимся в следующем.
Диеновый синтез делает возможным получение органических соединений различных классов, в особенности соединений с шестичлен-ным циклом.
Диеновый синтез является стереоспецифической реакцией, т.е. реакцией, в которой из всех возможных изомеров образуется только один. В качестве примера приведем полимеризацию циклопентадиена — реакцию, протекающую самопроизвольно на холоду в течение нескольких часов или нескольких дней и приводящую к образованию димера наряду с малыми и убывающими количествами тримера, тетрамера и пентамера.
Диеновый синтез представляет собой конденсацию веществ, содержащих 1 3-диеновую систему, называемых диенами, с этиленовыми или ацетиленовыми соединениями, называемыми диенофилами, приводящую к образованию шестичленных частично гидрированных циклов. Принимающий в этой реакции участие диен ( I) и реагирующее с ним вещество-диенофил ( II) или ( III) образуют продукт их соединения-аддукт. Формально реакция диенового синтеза осуществляется путем присоединения углеродных атомов диенофила, связанных кратной связью, к 1 4-углеродным атомам диена с возникновением новой кратной связи в аддукте.
Диеновый синтез — реакция обратимая, и то, что при ретродиеновом распаде свободные радикалы не образуются , тоже свидетельствует не в пользу радикального механизма.
Диеновые синтезы с участием замещенных циклопентадиенов в некоторых случаях приводят к образованию относительно сложных и интересных соединений, однако сравнительно доступные методы получения таких диенов появились только недавно и их диеновые конденсации изучены мало.
Диеновый синтез представляет собой конденсацию веществ, содержащих 1 3-диеновую систему, называемых диенами, с этиленовыми или ацетиленовыми соединениями, называемыми диенофилами, приводящую к образованию шестичленных частично гидрированных циклов. Принимающий в этой реакции участие диен ( I) и реагирующее с ним вещество-диенофил ( II) или ( III) образуют продукт их соединения-аддукт. Формально реакция диенового синтеза осуществляется путем присоединения углеродных атомов диенофила, связанных кратной связью, к 1 4-углеродным атомам диена с возникновением новой кратной связи в аддукте.
Диеновый синтез — реакция обратимая, и то, что при ретродиеновом распаде свободные радикалы не образуются , тоже свидетельствует не в пользу радикального механизма.
Диеновый синтез, подобно другим реакциям синхронного циклоприсоединения, является мс-стереоспецифичным. Для реакции Дильса — Альдера, кроме того, характерна экдо-стерео-селективность.
Диеновые синтезы с участием замещенных циклопентадиенов в некоторых случаях приводят к образованию относительно сложных и интересных соединений, однако сравнительно доступные методы получения таких диенов появились только недавно и их диеновые конденсации изучены мало.
Диеновый синтез с участием эфиров непредельных кислот изучен на довольно-большом числе примеров.
Диеновые синтезы с участием 3-элкоксипроизводных бутадиена-1 3 ( алкоксипре-нов) представляют значительный интерес для органического синтеза, так как они приводят к образованию гидроароматических соединений с потенциальной карбониль-вой группой, за счет которой могут быть осуществлены дальнейшие превращения в алициклическом ряду.
Использование в промышленности
После триумфальной победы на международном конкурсе ученому дали возможность осуществить производство синтетического каучука в промышленном масштабе. Так как получение бутадиена по реакции Лебедева было признано очень ценным, его профинансировали, и в 1930 году в Ленинграде был построен опытный завод «Литер «Б»», который вплоть до 1990 года занимал первое место в мире по производству искусственного каучука. На базе этого предприятия впоследствии был создан Всесоюзный научно-исследовательский институт синтетического каучука, который продолжает заниматься изучением полимерных соединений.

Стереохимия реакции Дильса-Альдера
Реакция Дильса-Альдера характеризуется стереоспецифичностью. Данное понятие обозначают стабильность пространственных конфигураций реагентов в процессе химической реакции. Во время исследований специфики протекания реакции Дильса-Альдера применялись различные реагенты
В итоге было доказано важное стереохимическое правило Альдера. Согласно данному утверждению, в процессах, которые контролируются кинетически, преимущественно образуется изомер с эндо-положением заместителя Х в диенофиле
Таким образом, в бициклической системе заместитель Х и метиленовый мостик занимают транс-положение.
Примеры с малеиновым ангидридом
Пиррол достаточно трудно вступает в химическую реакцию 1,4-циклоприсоединения, согласно правилу Дильса-Альдера. Для него характерна реакция заместительного присоединения по второму атому углерода кольца. К примеру, в процессе реакции пиррола и малеинового ангидрида конечным результатом является продукт замещения.
Циклоприсоединение нашло активное применение в области органической химии. С его помощью синтезируют карбоциклические и гетероциклические соединения, которые обладают разнообразным набором и числом атомов в кольце. Этот процесс представляет большой теоретический интерес. В процессе реакции Дильса-Альдера бутадиена-1,3 с малеиновым ангидридом можно получить 1,2,3,6-тетрагидрофталевый ангидрид.






























