3 способа Найти атомную массу
Метод, используемый для определения атомной массы, зависит от того, смотрите ли вы на отдельный атом, на природный образец или образец, содержащий известное соотношение изотопов:
1) Найдите атомную массу в Периодической таблице.
Если это ваше первое знакомство с химией, ваш инструктор попросит вас научиться использовать периодическую таблицу для определения атомной массы (атомной массы) элемента. Этот номер обычно указывается под символом элемента. Найдите десятичное число, которое представляет собой средневзвешенное значение атомных масс всех природных изотопов элемента.
Пример: если вас попросят указать Для определения атомной массы углерода сначала нужно узнать символ элемента C. Найдите C в периодической таблице. Одно число – это номер элемента углерода или атомный номер. Атомный номер увеличивается по мере того, как вы переходите через стол. Это не то значение, которое вам нужно. Атомная масса или атомный вес – это десятичное число. Количество значащих цифр варьируется в зависимости от таблицы, но значение составляет около 12,01.
Это значение на периодическая таблица дается в атомных единицах массы или а.е.м., но для химических расчетов вы обычно записываете атомную массу в граммах на моль или г/моль. Атомная масса углерода составляет 12,01 грамма на моль атомов углерода.
2) Сумма протонов и нейтронов для одного атома
Чтобы вычислить атомную массу отдельного атома элемента, сложите массу протонов и нейтронов.
Пример: найдите атомную массу изотопа углерода, который имеет 7 нейтронов. Из периодической таблицы видно, что углерод имеет атомный номер 6, что соответствует числу протонов. Атомная масса атома равна массе протонов плюс масса нейтронов, 6 + 7 или 13.
3 ) Средневзвешенное значение для всех атомов элемента
Атомная масса элемента – это средневзвешенное значение всех изотопов элемента на основе их естественных избыток. С помощью этих шагов легко вычислить атомную массу элемента.
Обычно в этих задачах вам предоставляется список изотопов с их массой. и их естественное содержание в виде десятичной дроби или процента.
- Умножьте массу каждого изотопа на его содержание. Если у вас процентное содержание, разделите ваш ответ на 100.
- Сложите эти значения вместе.
ответ – это общая атомная масса или атомный вес элемента.
Пример: вам дан образец, содержащий 98% углерода-12 и 2% углерода-13 . Какова относительная атомная масса элемента?
Сначала преобразуйте проценты в десятичные значения, разделив каждый процент на 100. Образец становится 0,98 углерода-12 и 0,02 углерода-13. (Совет: вы можете проверить свои математические расчеты, убедившись, что сумма десятичных знаков равна 1. 0,98 + 0,02 = 1,00).
Затем умножьте атомную массу каждый изотоп пропорцией элемента в образце:
0,98 x 12 = 11,76 0,02 x 13 = 0,26
Чтобы получить окончательный ответ, сложите их вместе:
11,76 + 0,26 = 12,02 г/моль
Примечание для опытных пользователей: эта атомная масса немного выше, чем значение, указанное в периодической таблице для элемента углерода. Что это вам говорит? Образец, который вам дали для анализа, содержал больше углерода-13, чем в среднем. Вы знаете это, потому что ваша относительная атомная масса выше, чем значение в таблице Менделеева, хотя номер в таблице Менделеева включает более тяжелые изотопы, такие как углерод-14
Также обратите внимание, что числа, указанные в таблице Менделеева, относятся к земной коре/атмосфере и могут иметь мало отношения к ожидаемому соотношению изотопов в мантии, ядре или других мирах
Со временем вы можете заметить, что значения атомной массы, перечисленные для каждого элемента в периодической таблице, могут немного измениться. Это происходит, когда ученые пересматривают расчетное соотношение изотопов в коре. В современных периодических таблицах иногда указывается диапазон значений, а не одна атомная масса.
Найти больше отработанных примеров
Относительная атомная масса
Огромнейший вклад в развитие и обоснование понятия относительная атомная масса внесли в разное время французский ученый Гей-Люссак, итальянский ученый А.Авогадро и шведский ученый Й.Я. Берцелиус.
Не углубляясь в историю вопроса, вспомним, что любой химический элемент представляет собой определенную разновидность атомов. Сегодня мы знаем, что атомы химических элементов имеют свои особые характеристики.
И самая главная из них, определяющая практически все остальные, это заряд ядра. А так как заряд ядра обусловлен присутствием в нем протонов, а заряд одного протона равен +1, то и количество протонов, соответственно, также является важнейшей характеристикой атомов химических элементов.
Основную массу атома составляет ядро, которое кроме протонов содержит еще и нейтроны. Масса последних сопоставима с массой первых. Оболочку атома составляют электроны.
По числу частиц в атоме, а точнее, по их суммарной массе, атомы химических элементов можно условно разделить на тяжелые и легкие. Например, легким элементом является водород, так как его атомы имеют самую маленькую массу. А свинец — это уже тяжелый элемент. Масса его атома в 302 раза тяжелее массы атома водорода.
Но тем не менее, как бы мы не делили все атомы на тяжелые или легкие, абсолютная масса (mA) каждого из них ничтожно мала, как мала и масса составляющих их частиц. Например,
Очевидно, что такие значения крайне не удобны в вычислениях. Поэтому используют не абсолютные, а относительные массы атомов (Ar). То есть массы атомов, посчитанные относительно какой-то определенной одной и той же величины.
Величина, с которой сравнивают массу атома
Первоначально еще Дальтон сравнивал массы атомов с массой атома водорода, как самого легкого. Позднее появилась так называемая кислородная единица, равная 1/16 части массы атома кислорода. К ней перешли потому, что большинство атомов химических элементов образуют соединения с кислородом.
Однако, с развитием атомной физики и эта единица стала крайне неудобной. Все потому, что кислород в природе имеет несколько изотопов (а именно 3 устойчивых, всего же их 16). А изотопы, как известно, отличаются своей атомной массой. Из-за большого разнообразия изотопов и их различной устойчивости кислородная единица утратила свою актуальность.
Почему именно углерод? Да потому, что:
— у углерода всего 2 изотопа: 12С и 13С; причем первого 98,9%;
— количество органических веществ (их основу составляет, как известно, именно углерод) в сотни раз больше, чем неорганических;
— при переходе от кислородной единицы к углеродной уже посчитанные относительные атомные массы всех элементов изменились не существенно, что оказалось очень удобным.
Таким образом, масса атома любого химического элемента связана с массой атома углерода как относительная атомная масса:
Зная значения абсолютных масс атомов и а.е.м. найдем Аr:
Ar считается безразмерной величиной, либо величиной в а.е.м. Но «а.е.м.» обычно не пишут, оставляя значение Ar без единиц измерения.
Таблица атомных масс химических элементов (4 часть):
| 91 | Протактиний | Pa | 231,03588(2) а.е.м. (г/моль) |
| 92 | Уран | U | 238,02891(3) а.е.м. (г/моль) |
| 93 | Нептуний | Np | 237,0482 а.е.м. (г/моль) |
| 94 | Плутоний | Pu | 244,0642 а.е.м. (г/моль) |
| 95 | Америций | Am | 243,061375 а.е.м. (г/моль) |
| 96 | Кюрий | Cm | 247,0703 а.е.м. (г/моль) |
| 97 | Берклий | Bk | 247,0703 а.е.м. (г/моль) |
| 98 | Калифорний | Cf | 251,0796 а.е.м. (г/моль) |
| 99 | Эйнштейний | Es | 252,083 а.е.м. (г/моль) |
| 100 | Фермий | Fm | 257,0951 а.е.м. (г/моль) |
| 101 | Менделевий | Md | 258,1 а.е.м. (г/моль) |
| 102 | Нобелий | No | 259,1009 а.е.м. (г/моль) |
| 103 | Лоуренсий | Lr | 266 а.е.м. (г/моль) |
| 104 | Резерфордий (Курчатовий) | Rf | 267 а.е.м. (г/моль) |
| 105 | Дубний (Нильсборий) | Db | 268 а.е.м. (г/моль) |
| 106 | Сиборгий | Sg | 269 а.е.м. (г/моль) |
| 107 | Борий | Bh | 270 а.е.м. (г/моль) |
| 108 | Хассий | Hs | 269 а. е. м. (г/моль) |
| 109 | Мейтнерий | Mt | 278 а. е. м. (г/моль) |
| 110 | Дармштадтий | Ds | 281 а. е. м. (г/моль) |
Коэффициент востребованности
4 140
Таблица атомных масс химических элементов (1 часть):
| Атомный номер |
Химический элемент |
Символ | Атомная масса |
| 1 | Водород | H | 1,00784-1,00811 а.е.м. (г/моль) |
| 2 | Гелий | He | 4,002602(2) а.е.м. (г/моль) |
| 3 | Литий | Li | 6,938-6,997 а.е.м. (г/моль) |
| 4 | Бериллий | Be | 9,012182(3) а.е.м. (г/моль) |
| 5 | Бор | B | 10,806-10,821 а.е.м. (г/моль) |
| 6 | Углерод | C | 12,0096-12,0116 а.е.м. (г/моль) |
| 7 | Азот | N | 14,00643-14,00728 а.е.м. (г/моль) |
| 8 | Кислород | O | 15,99903-15,99977 а.е.м. (г/моль) |
| 9 | Фтор | F | 18,998403163(6) а.е.м. (г/моль) |
| 10 | Неон | Ne | 20,1797(6) а.е.м. (г/моль) |
| 11 | Натрий | Na | 22,98976928(2) а.е.м. (г/моль) |
| 12 | Магний | Mg | 24,304-24,307 а.е.м. (г/моль) |
| 13 | Алюминий | Al | 26,9815386(8) а.е.м. (г/моль) |
| 14 | Кремний | Si | 28,084-28,086 а.е.м. (г/моль) |
| 15 | Фосфор | P | 30,973762(2) а.е.м. (г/моль) |
| 16 | Сера | S | 32,059-32,076 а.е.м. (г/моль) |
| 17 | Хлор | Cl | 35,446-35,457 а.е.м. (г/моль) |
| 18 | Аргон | Ar | 39,948(1) а.е.м. (г/моль) |
| 19 | Калий | K | 39,0983(1) а.е.м. (г/моль) |
| 20 | Кальций | Ca | 40,078(4) а.е.м. (г/моль) |
| 21 | Скандий | Sc | 44,955912(6) а.е.м. (г/моль) |
| 22 | Титан | Ti | 47,867(1) а.е.м. (г/моль) |
| 23 | Ванадий | V | 50,9415(1) а.е.м. (г/моль) |
| 24 | Хром | Cr | 51,9961(6) а.е.м. (г/моль) |
| 25 | Марганец | Mn | 54,938045(5) а.е.м. (г/моль) |
| 26 | Железо | Fe | 55,845(2) а.е.м. (г/моль) |
| 27 | Кобальт | Co | 58,933194(4) а.е.м. (г/моль) |
| 28 | Никель | Ni | 58,6934(4) а.е.м. (г/моль) |
| 29 | Медь | Cu | 63,546(3) а.е.м. (г/моль) |
| 30 | Цинк | Zn | 65,38(2) а.е.м. (г/моль) |
Таблица атомных масс химических элементов (2 часть):
| 31 | Галлий | Ga | 69,723(1) а.е.м. (г/моль) |
| 32 | Германий | Ge | 72,630(8) а.е.м. (г/моль) |
| 33 | Мышьяк | As | 74,92160(2) а.е.м. (г/моль) |
| 34 | Селен | Se | 78,96(3) а.е.м. (г/моль) |
| 35 | Бром | Br | 79,901-79,907 а.е.м. (г/моль) |
| 36 | Криптон | Kr | 83,798(2) а.е.м. (г/моль) |
| 37 | Рубидий | Rb | 85,4678(3) а.е.м. (г/моль) |
| 38 | Стронций | Sr | 87,62(1) а.е.м. (г/моль) |
| 39 | Иттрий | Y | 88,90585(2) а.е.м. (г/моль) |
| 40 | Цирконий | Zr | 91,224(2) а.е.м. (г/моль) |
| 41 | Ниобий | Nb | 92,90638(2) а.е.м. (г/моль) |
| 42 | Молибден | Mo | 95,96(2) а.е.м. (г/моль) |
| 43 | Технеций | Tc | 97,9072 а.е.м. (г/моль) |
| 44 | Рутений | Ru | 101,07(2) а.е.м. (г/моль) |
| 45 | Родий | Rh | 102,90550(2) а.е.м. (г/моль) |
| 46 | Палладий | Pd | 106,42(1) а.е.м. (г/моль) |
| 47 | Серебро | Ag | 107,8682(2) а.е.м. (г/моль) |
| 48 | Кадмий | Cd | 112,411(8) а.е.м. (г/моль) |
| 49 | Индий | In | 114,818(1) а.е.м. (г/моль) |
| 50 | Олово | Sn | 118,710(7) а.е.м. (г/моль) |
| 51 | Сурьма | Sb | 121,760(1) а.е.м. (г/моль) |
| 52 | Теллур | Te | 127,60(3) а.е.м. (г/моль) |
| 53 | Йод | I | 126,90447(3) а.е.м. (г/моль) |
| 54 | Ксенон | Xe | 131,293(6) а.е.м. (г/моль) |
| 55 | Цезий | Cs | 132,9054519(2) а.е.м. (г/моль) |
| 56 | Барий | Ba | 137,327(7) а.е.м. (г/моль) |
| 57 | Лантан | La | 138,90547(7) а.е.м. (г/моль) |
| 58 | Церий | Ce | 140,116(1) а.е.м. (г/моль) |
| 59 | Празеодим | Pr | 140,90765(2) а.е.м. (г/моль) |
| 60 | Неодим | Nd | 144,242(3) а.е.м. (г/моль) |
Таблица атомных масс химических элементов (3 часть):
| 61 | Прометий | Pm | 144,9127 а.е.м. (г/моль) |
| 62 | Самарий | Sm | 150,36(2) а.е.м. (г/моль) |
| 63 | Европий | Eu | 151,964(1) а.е.м. (г/моль) |
| 64 | Гадолиний | Gd | 157,25(3) а.е.м. (г/моль) |
| 65 | Тербий | Tb | 158,92535(2) а.е.м. (г/моль) |
| 66 | Диспрозий | Dy | 162,500(1) а.е.м. (г/моль) |
| 67 | Гольмий | Ho | 164,93032(2) а.е.м. (г/моль) |
| 68 | Эрбий | Er | 167,259(3) а.е.м. (г/моль) |
| 69 | Тулий | Tm | 168,93421(2) а.е.м. (г/моль) |
| 70 | Иттербий | Yb | 173,045(10) а.е.м. (г/моль) |
| 71 | Лютеций | Lu | 174,9668(1) а.е.м. (г/моль) |
| 72 | Гафний | Hf | 178,49(2) а.е.м. (г/моль) |
| 73 | Тантал | Ta | 180,94788(2) а.е.м. (г/моль) |
| 74 | Вольфрам | W | 183,84(1) а.е.м. (г/моль) |
| 75 | Рений | Re | 186,207(1) а.е.м. (г/моль) |
| 76 | Осмий | Os | 190,23(3) а.е.м. (г/моль) |
| 77 | Иридий | Ir | 192,217(3) а.е.м. (г/моль) |
| 78 | Платина | Pt | 195,084(9) а.е.м. (г/моль) |
| 79 | Золото | Au | 196,966569(4) а.е.м. (г/моль) |
| 80 | Ртуть | Hg | 200,592(3) а.е.м. (г/моль) |
| 81 | Таллий | Tl | 204,382-204,385 а.е.м. (г/моль) |
| 82 | Свинец | Pb | 207,2(1) а.е.м. (г/моль) |
| 83 | Висмут | Bi | 208,98040(1) а.е.м. (г/моль) |
| 84 | Полоний | Po | 208,9824 а.е.м. (г/моль) |
| 85 | Астат | At | 209,9871 а.е.м. (г/моль) |
| 86 | Радон | Rn | 222,0176 а.е.м. (г/моль) |
| 87 | Франций | Fr | 223,0197 а.е.м. (г/моль) |
| 88 | Радий | Ra | 226,0254 а.е.м. (г/моль) |
| 89 | Актиний | Ac | 227,0278 а.е.м. (г/моль) |
| 90 | Торий | Th | 232,03806(2) а.е.м. (г/моль) |
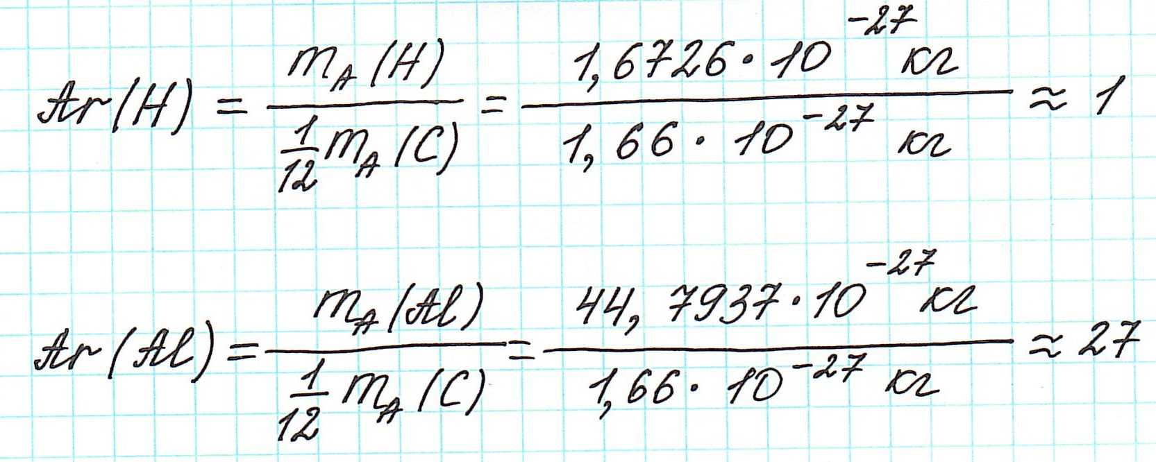
Какова масса одной а. е. м.?
С помощью атомных масс удобно сравнивать друг с другом массы молекул атомов и соединений. Например, если молекула воды весит 18 а. е. м., в молекула углекислого газа – 44 а. е. м., то это значит, что молекула СО2 тяжелее молекулы воды в 44/18 ≈2,444 раза. Но как определить массу атомов и молекул в привычных для нас килограммах?
Это можно сделать, вычислив число Авогадро, которое показывает, сколько молекул содержится в 1 моле вещества. Первые оценки числа Авогадро были проведены лишь в 1865 г., но тогда ученые ошиблись в 15 раз, через 8 лет ошибка уменьшилась в 10 раз. Сегодняшние измерения показывают, что один атом водорода весит всего лишь 1,66•10–27 кг.
Существование в природе нестабильных веществ
У некоторых элементов относительная масса указана в квадратных скобках. Как видно, это элементы, расположенные после урана. Дело в том, что они не имеют устойчивых изотопов и распадаются с выделением радиоактивного излучения. Поэтому в скобках указан наиболее устойчивый изотоп.

В процессе синтеза новых изотопов и измерения их продолжительности жизни порой удавалось обнаружить нуклиды с продолжительностью полураспада в миллионы раз дольше.
Наука не стоит на месте, постоянно открываются новые элементы, законы, взаимосвязи различных процессов в химии и природе. Поэтому, в каком виде окажется химия и периодическая система химических элементов Менделеева в будущем, лет через сто, — является туманным и неопределённым. Но хочется верить, что накопленные за прошедшие века труды химиков послужат новому, более совершенному знанию наших потомков.
Как рассчитывается атомный вес?
Чтобы определить атомный вес, сначала необходимо вычислить атомную массу изотопа, которая является суммой количества протонов и нейтронов, имеющихся у определенного атома.
Количество электронов в нем не учитывается, так как его масса ничтожна по сравнению с массой нейтронов и протонов.
То же самое делается с каждым изотопом одного и того же элемента. Затем, зная их естественное содержание, рассчитывается средневзвешенная атомная масса всех изотопов путем сложения произведения m ∙ A (m = атомная масса, а A — содержание, деленное на 100).
Например, предположим, что у вас есть кластер атомов железа, 93% из которых 56Вера, а 5% — 54Fe и оставшиеся 2% 57Вера.Атомные массы уже отмечены в верхнем левом углу химических символов. Затем вычисляем:
56 (0,93) + 54 (0,05) + 57 (0,02) = 55,92 г / моль атомов Fe
В этом кластере железо имеет атомный вес 55,92. Но как насчет остальной части всей планеты Земля или остальной Вселенной? В кластере всего три изотопа, содержание которых меняется с учетом Земли, где изотопов будет больше и расчеты усложняются.
Страницы
Главная страницаОСНОВЫ ОБЩЕЙ ХИМИИ1.1 Важнейшие классы неорганических веществ2.1 Вещества. Атомы2.2 Размеры атомов2.3 Молекулы. Химические формулы2.4 Простые и сложные вещества2.5 Валентность элементов2.6 Моль. Молярная масса2.7 Закон Авогадро2.8 Закон сохранения массы веществ2.9 Вывод химических формул3.1 Строение атома. Химическая связь3.2 Строение атома3.4 Строение электронной оболочки атома3.5 Периодическая система химических элементов3.6 Зависимость свойств элементов3.7 Химическая связь и строение вещества3.8 Гибридизация орбиталей3.9 Донорно-акцепторный механизм образования3.10 Степени окисления элементов4.1 Классификация химических реакций4.2 Тепловые эффекты реакций4.3 Скорость химических реакций4.4 Необратимые и обратимые реакции4.5 Общая классификация химических реакцийНЕОРГАНИЧЕСКАЯ ХИМИЯ5.1 Растворы. Электролитическая диссоциация5.2 Количественная характеристика состава растворов5.3 Электролитическая диссоциация5.4 Диссоциация кислот, оснований и солей5.5 Диссоциация воды5.6 Реакции обмена в водных растворах электролитов5.7 Гидролиз солей6.1 Важнейшие классы неорганических веществ6.2 Кислоты, их свойства и получение6.3 Амфотерные гидроксиды6.4 Соли, их свойства и получение6.5 Генетическая связь между важнейшими классами6.6 Понятие о двойных солях7.1 Металлы и их соединения7.2 Электролиз7.3 Общая характеристика металлов7.4 Металлы главных подгрупп I и II групп7.5 Алюминий7.6 Железо7.7 Хром7.8 Важнейшие соединения марганца и меди8.1 Неметаллы и их неорганические соединения8.2 Водород, его получение8.3 Галогены. Хлор8.4 Халькогены. Кислород8.5 Сера и ее важнейшие соединения8.6 Азот. Аммиак. Соли аммония8.7 Оксиды азота. Азотная кислота8.8 Фосфор и его соединения8.9 Углерод и его важнейшие соединения8.10 Кремний и его важнейшие соединенияОРГАНИЧЕСКАЯ ХИМИЯ9.1 Основные положения органической химии. Углеводороды9.2 Электронные эффекты заместителей в органических соединениях9.3 Предельные углеводороды (алканы)9.3.1 Насыщенные УВ. Метан9.4 Понятие о циклоалканах9.5 Непредельные углеводороды9.6 Диеновые углеводороды (алкадиены)9.7 Алкины9.8 Ароматические углеводороды9.9 Природные источники углеводородов10.1 Кислородсодержащие органические соединения10.2 Фенолы10.3 Альдегиды10.4 Карбоновые кислоты10.5 Сложные эфиры. Жиры10.6 Понятие о поверхностно-активных веществах10.7 Углеводы11.1 Амины. Аминокислоты11.2 Белки11.3 Понятие о гетероциклических соединениях11.4 Нуклеиновые кислоты12.1 Высокомолекулярные соединения12.2 Синтетические волокна▼
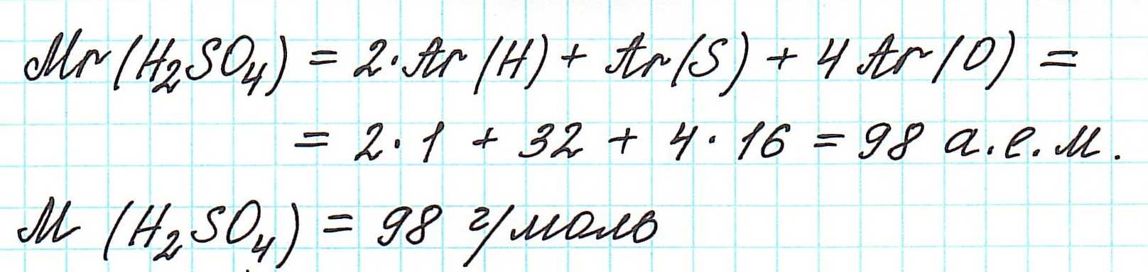
Как вычислить молярную массу вещества
Мы уже знаем, что относительная молекулярная масса складывается из относительных атомных масс.
При нахождении относительной молекулярной массы (Mr), а значит и молярной (М), выполняем следующие действия:
1) правильно записываем формулу вещества;
2) анализируем качественный состав (атомы каких элементов составляют вещество) и количественный состав (в каких количествах находятся эти атомы – смотрим по индексам, которые стоят справа внизу от знака химического элемента);
3) в периодической системе химических элементов находим элементы, атомы которых составляют вещество, и округляем относительную атомную массу, стоящую рядом со знаком элемента, до целого числа (! у хлора – до 35,5);
4) складываем относительные атомные массы всех элементов с учетом количества атомов.


Рассмотрим еще примеры:

Как вычислить молярную массу вещества, находящегося в газообразном состоянии
Определить молекулярную (а значит и молярную) массу газообразного вещества можно, используя . Он гласит, что в равных объемах газов, взятых при одинаковой температуре, а также одинаковом давлении, содержится равное число молекул.
Это означает, что в данных условиях отношение масс газов друг к другу является отношением их молярных масс:
Отношение масс газообразных веществ называют относительной плотностью одного газа по другому и обозначают как D:
Таким образом, зная молярную массу одного газа и его плотность по другому газу, можно вычислить молярную (а значит, и молекулярную) массу второго газа:
Например:
Вычислить молярную массу вещества (а, значит, и относительную молекулярную), находящегося в газообразном состоянии, можно, используя молярный объем газа (VM):
Итак, подведем итог:
- Относительная молекулярная масса (Mr) показывает отношение массы молекулы к 1/12 части массы атома изотопа углерода 12С.
- Молярная масса (М) – масса одного моля вещества, равная отношению массы вещества к его количеству и выраженная в г/моль.
- Относительная молекулярная и молярная массы численно равны.
- Вычислить молярную массу вещества (и относительную молекулярную также) можно, используя значения относительных атомных масс, записанных в периодической системе.
Без вычисления молярной массы не обходится решение практически ни одной задачи. Если вы поняли, что такое молярная и относительная молекулярная массы и как их вычислять, но еще не умеете решать задачи с их применением, то самое время научиться.
здесь.
Чтобы самыми первыми узнавать о новых публикациях на сайте, присоединяйтесь к нашей группе ВКонтакте.































